Este texto constituye la segunda parte de un ensayo que explora la crisis de responsabilidad, lenguaje y humanidad en la era digital. En esta parte se aplica el Modelo propuesto sobre dos casos de ejemplo. En las siguientes partes se profundizará en los diferentes componentes del modelo y en el origen del mismo.
Puesta en práctica del modelo
Caso de ejemplo actual, política y estrangulamiento del lenguaje, arte individual
________________________________________________________________________________
Introducción
En este parte del ensayo se va a poner a prueba la herramienta analítica presentada como Métrica de Compromiso Neto (Mc). Para ello se van a analizar dos casos de ejemplo usando esta fórmula.
La DANA de Valencia y la desaparición de la responsabilidad política
La DANA que afectó a la Comunidad Valenciana en 2024 dejó consecuencias muy graves en la sociedad valenciana. Lo que aquí se va a analizar no es la gestión de la emergencia en sí, sino lo que ocurrió después. La explicación dominante no giró en torno a una decisión concreta equivocada, sino a una cadena de justificaciones técnicas y elusión de responsabilidades: falta de datos suficientes, previsiones incompletas, informes contradictorios, protocolos activados según lo previsto, pero no suficientemente desarrollados, competencias, etc.. Nadie parecía haber decidido mal. Simplemente, nadie había decidido. Durante el año posterior se han emitido infinidad de versiones y se ha llegado a varias comisiones de investigación en las que parece no haberse sacado una conclusión inequívoca, o al menos, esta no se ha trasladado a la sociedad.
Este análisis no busca señalar culpables individuales ni reabrir un debate partidista. Su objetivo es otro: entender por qué hoy es posible no decidir en una emergencia, equivocarse, y aun así no asumir responsabilidad sin que el sistema colapse.
La decisión como gesto humano
En una emergencia, decidir nunca es cómodo. Implica actuar con información incompleta, asumir el riesgo de equivocarse y comprometer la propia palabra ante consecuencias futuras. Históricamente, ese gesto —imperfecto, arriesgado, humano— era parte central de la legitimidad política.
Desde la perspectiva de la Tradición Vivida Imperfecta, decidir no es garantizar el acierto, sino aceptar la autoría del acto. El error no elimina la responsabilidad; la confirma. Y precisamente por eso, la asunción pública del fallo tenía un valor reparador: restituía el vínculo entre poder y ciudadanía.
El desplazamiento contemporáneo: de decidir a gestionar
En el caso de la DANA de Valencia, el patrón fue distinto. La emergencia se gestionó como un problema técnico-administrativo, no como un espacio de decisión política. La autoridad quedó disuelta en:
- informes meteorológicos
- modelos predictivos
- recomendaciones técnicas
- marcos competenciales
Cuando llegó el momento de explicar lo ocurrido, el discurso fue coherente con esa lógica: no hubo una decisión fallida, sino una información insuficiente. El error dejó de tener autor. Se convirtió en un fallo del sistema.
Este desplazamiento es central en el modelo de la Métrica de Compromiso Neto: la responsabilidad se externaliza hacia estructuras que funcionan, pero que no pueden responder éticamente.
Por qué esta estrategia funciona hoy
Lo preocupante no es solo que se recurra a esta explicación, sino que funcione socialmente. No genera dimisiones claras, ni ruptura del contrato simbólico, ni una exigencia colectiva sostenida de responsabilidad.
¿Por qué?
Porque en la Liturgia del Aparente el valor principal ya no es responder, sino no quedar expuesto. La validación pública premia:
- la prudencia retrospectiva
- la neutralidad técnica
- la ausencia de error visible
En este marco, no decidir se convierte en una estrategia racional. Decidir implica riesgo; no decidir permite refugiarse en la complejidad del sistema.
La política sin el yo respondo
El verdadero punto de quiebre no está en la predicción meteorológica, sino en la desaparición del gesto ético fundamental: yo respondo. Cuando ningún responsable asume el error como propio, no hay reparación posible. No porque no haya dolor o daño, sino porque no hay sujeto que pueda responder por él.
El sistema sigue funcionando. Las instituciones permanecen. Los protocolos se revisan. Pero algo se ha perdido: la posibilidad de que el error vuelva a humanizar la política.
Un caso local, un síntoma global
La DANA de Valencia no es una anomalía. Es un caso ejemplar de una tendencia más amplia: la transición hacia una política administrada, donde las decisiones se diluyen en procesos y la responsabilidad se fragmenta hasta desaparecer.
Este patrón es especialmente relevante en un contexto donde la inteligencia artificial y los sistemas automatizados empiezan a ocupar espacios de decisión. Si hoy aceptamos que no se decidió porque no había datos suficientes, mañana aceptaremos sin fricción que la IA recomendó otra cosa.
Cuando el lenguaje deja de comprometer
Tradicionalmente, el lenguaje político servía para algo esencial: atar la palabra a quien la pronunciaba. Decidir era hablar en primera persona y aceptar las consecuencias.
Hoy ocurre lo contrario. El lenguaje se vuelve:
- ambiguo
- técnico
- retrospectivamente prudente
No para aclarar, sino para impedir que alguien quede situado como responsable. Las versiones contradictorias no son un fallo del relato; son su función. Mientras no haya una versión estable, no puede haber un responsable claro.
El error sin autor
El fallo ya no es humano; es sistémico.
Y cuando el error es del sistema, nadie responde.
Como resultado el tiempo pasa, los daños permanecen en la memoria colectiva, pero la responsabilidad se evapora. No hay reparación simbólica porque no hay sujeto que pueda reparar.
Política que funciona, humanidad que se debilita
Nada de esto provoca un colapso institucional. Todo sigue funcionando. Precisamente por eso es peligroso. Hemos normalizado una política donde no decidir es una estrategia racional y donde explicar sustituye a responder.
Un año después, lo grave no es solo que se cometieran errores en una emergencia, sino que seguimos aceptando un lenguaje diseñado para que esos errores no pertenezcan a nadie.
Sobre el cambio de versiones y la negación de la realidad en política
En la política clásica, la mentira tenía tres rasgos:
- Había una versión oficial
- Esa versión podía demostrarse falsa
- Al ser expuesta, generaba un coste (escándalo, dimisión, descrédito)
Hoy ocurre algo distinto.
Lo que vemos no es tanto mentira como plasticidad del relato:
- versiones que cambian
- contradicciones que no se corrigen
- declaraciones que se reemplazan sin explicarse
Si no hay continuidad, no hay contradicción.
Si no hay contradicción, no hay mentira.
El papel del tiempo
Antes:
- el tiempo reforzaba la verdad
- las declaraciones pasadas volvían como responsabilidad
Ahora:
- el tiempo disuelve
- la saturación informativa borra la memoria
- una versión nueva sustituye a la anterior sin fricción
Por eso, un año después de la DANA pueden coexistir versiones incompatibles sin que se active ninguna exigencia de coherencia; porque el lenguaje ya no conserva, solo circula.
El proceso de aprendizaje en la música
Más tarde también se muestra un ejemplo de un caso contrario bastante general: el aprendizaje de una capacidad artística en el que la Liturgia del Aparente no tiene apenas peso.
________________________________________________________________________________
La Fórmula Filosófica y Económica. Sus Implicaciones Inmediatas.
Si la humanidad es una desigualdad inestable que debe mantenerse activamente, necesitamos una prueba de estrés para entender dónde y cómo colapsa esa balanza.
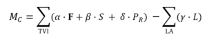
La Métrica de Compromiso Neto no es una herramienta de cálculo moral, sino de diagnóstico antropológico. Nos permite visualizar la relación entre el Valor de Responder (Tradición Vivida Imperfecta, TVI) y el Valor Económico de la Atención (Liturgia del Aparente, LA).

El caso de la DANA de València de 2024 ofrece un laboratorio político ideal para aplicar este modelo y demostrar cómo una sociedad puede seguir funcionando mientras deja de ser humana.
________________________________________________________________________________
Caso de Estudio: El Vacío Político de la DANA
La emergencia de la DANA no fue solo un desastre natural, sino un evento donde la pregunta ¿quién tenía que haber decidido antes? quedó suspendida en el espacio público. Lo relevante no fue solo el fallo en sí mismo, por falta de decisión humana, sino también la gestión de la responsabilidad posterior. Incluso en una prueba tan traumática socialmente, el sistema no ha colapsado, pero sí se ha vaciado de humanidad.
La Desaparición del Sujeto Responsable (Disolviendo Pr y F)
El primer movimiento de la Liturgia del Aparente (LA) en la política es la externalización del costo ético, buscando anular los componentes de la Tradición Vivida Imperfecta (TVI).
- Anulación de la Palabra Arriesgada (Pr):
En la TVI, la legitimidad política exige el gesto de yo decido y yo respondo. En el caso DANA, ese gesto desapareció. La explicación dominante fue una cadena de justificaciones técnicas y administrativas. La responsabilidad se disuelve y se pasa entre marcos competenciales, informes meteorológicos y protocolos incompletos. Nadie había decidido mal; simplemente, nadie había decidido. El resultado es que la variable Pr es llevada al mínimo o directamente a cero.
- Eliminación de la Fricción (F):
El proceso de traspaso de culpa entre administraciones y el mareo con protocolos ambiguos es una técnica avanzada para eliminar la Fricción. Al refugiarse en la complejidad del sistema, se garantiza la prudencia retrospectiva y la neutralidad técnica. El costo emocional y político se externaliza a «estructuras que funcionan, pero que no pueden responder éticamente«.
- El Vaciado de la Significación (S -> 0
En la Tradición Vivida Imperfecta (TVI), un desastre de esta magnitud genera una respuesta cargada de Significación: el duelo compartido, la verdad como bálsamo y la construcción de una memoria colectiva que honre a los que ya no están. Sin embargo, en la gestión actual, observamos una erosión planificada de S:
- La Sustitución de la Verdad por el Dato:
- La Significación requiere Verdad. Pero el sistema ha sustituido la búsqueda de la verdad (¿qué pasó y por qué?) por la acumulación de datos técnicos (caudales, avisos, horas, protocolos, competencias).
- Al reducir una tragedia humana a un fallo en la transmisión de datos, se despoja al evento de su peso moral. Si no hay una narrativa de verdad, el sufrimiento de las víctimas se queda sin «sitio» donde descansar. Se convierte en un ruido estadístico.
- El Duelo como Interferencia:
- Para la Liturgia del Aparente, el dolor profundo y el duelo son fricciones que entorpecen el funcionamiento del sistema. Por eso, se busca pasar página rápido mediante la «gestión del relato».
- Cuando los políticos luchan por la versión más favorable, están profanando la Significación del evento. El significado de la muerte de un ciudadano se reduce a su utilidad (o peligrosidad) en una encuesta electoral o en una comisión de investigación.
- La Ruptura del Vínculo Social:
- S es lo que nos une como comunidad (el hilo invisible). Al estrangular las versiones y pasar la responsabilidad entre administraciones, se rompe la confianza en el lenguaje.
- Si la palabra del representante ya no significa nada (porque puede ser cambiada mañana sin coste), el ciudadano se retira del espacio público. La sociedad deja de ser un cuerpo con significado para ser una masa de individuos administrados.
Efecto: El componente ético de la fórmula tiende a cero.
La Plasticidad del Relato (Maximizando LA)
El objetivo de este vacío de responsabilidad es maximizar la Validación, la métrica del éxito en la Liturgia del Aparente. Aquí es donde el concepto de la mentira cobra una nueva dimensión.
- Estrangulamiento del Lenguaje:
El lenguaje no se vuelve técnico para aclarar, sino para impedir que alguien quede situado como responsable. El lenguaje se vuelve ambiguo y retrospectivamente prudente. La verdad no es estable; es un relato móvil. Se habla de falta de conocimiento, de protocolos no detallados al máximo.
- La Mentira como Técnica (Maximizando LA):
En este marco, la pregunta deja de ser ¿es verdad? para convertirse en ¿funciona ahora?.
El cambio de versiones y las contradicciones que no se corrigen no son un fallo del relato; son su función. Mientras el relato maximice la supervivencia pública, no tiene coste, y la variable L (Visibilidad, Métricas, Validación) se mantiene alta. La comisión de investigación, en lugar de ser un espacio para la asunción de Pr, se convierte en un enredo de políticos luchando por el relato y la versión que genera menos fricción.
Este proceso culmina en el punto más inquietante:
La mentira se vuelve indistinguible del cálculo.
El relato que sobrevive no es el más verídico, sino el que es más eficiente para el sistema.
El Colapso de Humanidad Mc ≤ 0
El caso DANA demuestra que el sistema político puede seguir funcionando técnicamente a pesar de este vaciamiento. El peligro no es el colapso, sino la normalización de la Post-Humanidad Administrada.
Cálculo Conceptual:
Con el componente ético (TVI) tendiendo a cero y la validación (LA) manteniéndose alta:

Implicación Ética y Social:
El valor del compromiso se pierde, y la consecuencia más grave es la imposibilidad de reparación.
- El sistema ha priorizado la gestión de imagen (L) y la evitación del costo personal (F, Pr -> 0).
- Mientras los políticos siguen luchando por el relato, las víctimas y sus familiares siguen sufriendo la falta de verdad sostenida y el no-reconocimiento del error. El drama se extiende porque el sistema no exige reparación.
Implicaciones en el lenguaje
Lenguaje sin compromiso = lenguaje sin autor
En la Tradición Vivida Imperfecta, hablar implica:
- quedar ligado a lo dicho
- poder ser interpelado después
- responder si se demuestra falso
En la Liturgia del Aparente, el lenguaje:
- no compromete
- no se acumula
- no construye continuidad
Cada declaración vale solo para el momento de validación.
Por eso cambiar de versión no es percibido como mentir, sino como adaptarse al contexto.
La mentira deja de ser un fallo ético y se vuelve una técnica
En el modelo, cuando la validación externa (𝐿) pesa más que el compromiso (𝑃r), la mentira ya no se mide por su relación con los hechos,
sino por su rentabilidad temporal.
Mientras maximice supervivencia pública, no tiene coste.
Implicación Política
Aquí aparece la idea más inquietante del modelo:
Una sociedad puede funcionar sin verdad compartida, pero no sin sistemas operativos.
La mentira no rompe el sistema porque:
- no se espera verdad
- solo estabilidad
- solo gestión de imagen
Esto es exactamente la post-humanidad administrada aplicada a la política.
Conexión directa con IA
Este tipo de política prepara el terreno perfecto para la IA:
Si hoy aceptamos:
- esto era lo que parecía cierto en ese momento
- la información cambió
- el contexto era distinto
mañana aceptaremos:
- el modelo se reentrenó
- la IA ajustó la predicción
- no era explicable
La mentira se vuelve indistinguible del cálculo.
Y cuando eso ocurre, ya no hay nadie que pueda mentir,
porque ya no hay nadie que responda.
Síntesis: El coste de la política administrada
Lo que el caso de la DANA y el modelo de la Métrica de Compromiso nos revelan no es que los políticos mientan más que antes, sino algo mucho más profundo: la política ha dejado de necesitar la verdad para ser funcional.
Este nuevo escenario se resume en tres quiebres de nuestra humanidad:
- La disolución del autor: El lenguaje técnico y la prudencia retrospectiva actúan como un escudo. Si el error es del sistema o de la falta de datos, no hay un yo que responda, y sin un sujeto responsable, la reparación social es imposible.
- La muerte de la contradicción: En un flujo informativo constante (Liturgia del Aparente), las versiones cambian sin coste porque no hay memoria acumulada. Si el relato solo busca validar el presente, la mentira no se vive como un fallo ético, sino como una adaptación táctica.
- El colapso de la Significación (S -> 0): Al reducir una tragedia a un fallo de datos, el sistema vacía el evento de su peso moral. Al llevar S a cero, el numerador del modelo colapsa: las catástrofes se gestionan, pero no se comprenden; las víctimas se indemnizan, pero no se honran. El sistema ya no sirve para los humanos, solo sirve para sí mismo.
En definitiva: Hemos pasado de una política de personas que arriesgan su palabra a una política de procesos que protegen su imagen. Este modelo de gestión es un entrenamiento para la era de la IA: al aceptar hoy que la responsabilidad se diluye en datos, estamos educando nuestra tolerancia para que mañana los algoritmos decidan por nosotros. Estamos normalizando un mundo donde el resultado puede ser eficiente pero la confianza y la capacidad de perdón —pilares de cualquier comunidad humana— se han evaporado.
________________________________________________________________________________
Resistencias: Donde la Humanidad Sostiene
Frente a este vaciamiento institucional, ¿dónde reside hoy nuestra capacidad de seguir siendo humanos? La respuesta no está en la gestión de masas, sino en el comportamiento individual con lo difícil.
Si el caso de la DANA diagnosticó la forma en que la Liturgia del Aparente (LA) colapsa la Métrica de Compromiso Neto (Mc), esta sección debe demostrar que la Tradición Vivida Imperfecta (TVI) no es nostalgia, sino el único mecanismo activo para asegurar que Mc > 0.
Caso de Estudio: Aprender a tocar el Piano
El aprendizaje de un arte o un oficio es la encarnación más pura de la TVI porque es un proceso inherentemente lento, incómodo y no optimizable sin destruirlo. El escenario es simple: un sujeto decide aprender a tocar el piano por la disciplina y el significado intrínseco de dominar un arte.
El Valor Innegociable de la Fricción (F)
La TVI exige resistencia física y mental, lo que llamamos Fricción (F).
- Aplicación al Piano: La Fricción es el dolor de la postura incorrecta, la lentitud exasperante de los ejercicios, la frustración al fallar. Es la antítesis de la Fluidez que busca el sistema digital.
- El Compromiso del Cuerpo: Esta fricción no es un obstáculo; es el material con el que se construye el Mc. La TVI establece que si te expones activamente a la Fricción (practicar por años), te garantiza el Significado (S).
- Inmunidad a la LA: Gran parte de esta Fricción ocurre en la intimidad, donde la Validación (L) es nula. Es un valor que se acumula internamente, inmune a las métricas del Capital de Atención.
La Promesa Arriesgada Personal (Pr)
En el aprendizaje, el sujeto no puede delegar la culpa. El error es inmediato y personal.
- Aplicación al Piano: El compromiso es una Palabra Arriesgada (Pr) autoimpuesta: «Voy a mejorar. Voy a terminar esta pieza, aunque me cueste un año». Esta promesa es arriesgada porque el fracaso es evidente e ineludible.
- El Peso del Fracaso: Si el músico deja de practicar, el fracaso no se atribuye a un «error algorítmico» o a la «falta de datos», sino a la falta de Pr del sujeto. Esto mantiene el valor de la variable Pr alto, asegurando la integridad del sujeto.
El Triunfo de la TVI: Soberanía Ontológica
El aprendizaje del instrumento es un modelo de Sostenibilidad Humana. El sujeto, al mantener el compromiso de la TVI, demuestra que la desigualdad (Mc > 0) se puede mantener activa.
Cálculo Conceptual (Equilibrio de la Humanidad):
Aquí se demuestra que el valor del TVI es robusto, incluso si el valor de LA es bajo o nulo. El sujeto prioriza el costo ético y la ganancia de significado sobre la validación.

Conclusión: El acto de aprender el piano es un acto de soberanía ontológica. Es un espacio que el sistema de la Liturgia del Aparente no puede optimizar sin destruirlo, y por lo tanto, es un lugar donde la Humanidad Sostiene.
________________________________________________________________________________
Conexión con el Futuro de la IA: La Fricción Necesaria
Este contraste entre el piano y la DANA es vital para proyectar el costo de la Post-Humanidad Administrada al futuro de la Inteligencia Artificial.
La TVI del músico nos enseña la necesidad de la fricción, mientras que la LA del político en el caso DANA nos enseña el peligro de la fluidez irresponsable.
- El Peligro de la Predicción sin Costo:
La IA (en sistemas de predicción, diagnóstico, etc.) es la máxima expresión de la Liturgia del Aparente: máxima fluidez, cero fricción, cero Pr Un modelo de IA puede decir «predigo que esto ocurrirá» sin el costo personal o ético que implica la predicción humana. Si la predicción falla, la explicación será la misma que en la DANA: «el modelo se reentrenó» o «la información cambió».
- La Fricción como Garantía Ética:
Si no exigimos la Fricción a los sistemas de IA, aceptamos un futuro donde las decisiones cruciales (financieras, médicas, políticas) están envueltas en una caja negra opaca, donde no hay sujeto que responda (Pr -> 0). El error no será moral, sino estadístico, y por lo tanto, incorregible humanamente.
-
-
- La Resistencia del TVI ante la IA: Exigir TVI a un sistema de IA no significa detener el progreso, sino exigir transparencia, explicabilidad y un punto de anclaje de responsabilidad (un Pr humano). Es exigir la Fricción que nos da garantía de Significado y, por tanto, de Humanidad.
-
- La Última Soberanía:
La batalla contra la IA, en el fondo, no es tecnológica, sino una batalla por la Fricción. El ejemplo del piano nos recuerda que el valor no está en la velocidad del input o en la belleza del output, sino en la lenta, incómoda y arriesgada asunción del error y del esfuerzo. Es nuestra última defensa contra la Mentira que se vuelve indistinguible del Cálculo.
Esta nueva estructura permite un desarrollo lógico:
- Caso DANA: Muestra el colapso político (Mc << 0).
- Caso aprender piano: Muestra la resistencia personal (Mc >> 0).
- Conclusión: Proyecta la necesidad de trasladar la ética del piano al futuro de la IA.








